- 
          
          [Internet] 인터넷이란? 인터넷 작동 원리Study/모몽이 공부중 2020. 7. 20. 10:34인터넷(Internet)컴퓨터로 연결하여 TCP/IP라는 통신 프로토콜을 이용해 정보를 주고 받는 컴퓨터 네트워크이다. 이름 유래 1973년 TCP/IP를 정립한 빈트 서프와 밥 간이 '네트워크의 네트워크'를 구현하여 모든 컴퓨터를 하나의 통신망 안에 연결(International Network)하고자 하는 의도에서 이를 줄여 Internet이라고 처음 명명하였다. 
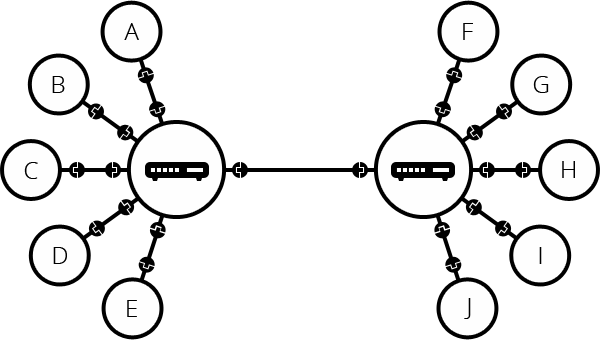
 인터넷의 작동원리단순한 네트워크1) 1:1 연결 두대의 컴퓨터가 통신이 필요할 떄, 다른 컴퓨터와 물리적으로 또는 무선으로 연결되어야 한다.  2대의 컴퓨터를 연결한 모습, MDN 2) N:N 연결  여러대의 컴퓨터를 연결한 모습, MDN 여위에 처럼 연결할 경우 컴퓨터의 수가 많아지면 복잡성이 증가한다. 예를 들어 위 그림처럼 컴퓨터가 10대라면 컴퓨터당 9개의 플러그가 있는 45개의 케이블이 필요하다. 3) 라우터 연결 위 문제를 해결하기 위해 네트워크의 각 컴퓨터는 라우터(Router)를 연결한다. Router: 특수한 소형 컴퓨터로 단 하나의 작업만 수행.  라우터로 연결된 모습 예를 들어 위 그림처럼 컴퓨터가 10대라면 10개의 케이블이 필요하다. 네트워크안의 네트워크수백, 수천 대의 컴퓨터를 연결하려면...? 라우터가 컴퓨터라고 생각하면 라우터와 라우터를 연결하면 된다.  라우터와 라우터를 연결. MDN  라우터와 라우터를 연결, MDN 라우터와 라우터를 연결함으로 연결을 무한하게 확장 가능해졌다. 이러한 네트워크를 우리가 인터넷이라고 부르는 것과 매우 유사하다. 그러나 라우터를 유선으로 연결하는것은 비효율적이다. 그래서 이미 모든 집을 연결한 케이블인 전화선에 연결하기로 했다. 네트워크와 전화시설을 연결하기 위해선 모뎀(MODEM, MOdulator and DEModulator)이라는 특수 장비가 필요하다.  모뎀으로 연결, MDN 모뎀은 네트워크의 정보를 전화시설에서 처리 가능한 정보로 바꾼다. 모뎀을 통해 네트워크는 전화시설에 연결되지만 우리가 컴퓨터가 보낸 메세지가 도달해야 할 컴퓨터까지 도달하지는 못한다. 이 메세지가 전달되려면 인터넷 서비스 제공 업체(ISP, Internet Service Provider)에 연결되어 있어야 한다. ISP: 모두 연결되어 있는 특수한 라우터를 관리하고 다른 ISP의 라우터에도 엑세스 할 수 있는 회사. 우리나라에는 SK텔레콤, KT, LG유플러스 등이 있다. 네트워크의 메세지는 ISP 네트워크의 네트워크를 통해 대상 네트워크로 전달된다.  인터넷, MDN 참고 'Study > 모몽이 공부중' 카테고리의 다른 글[Internet Protocol] SSH란? (0) 2020.07.20 [Internet] HTTP (0) 2020.07.20 [Roadmap] 백엔드 로드맵 - Step by step guide to becoming a modern backend developer (0) 2020.07.20 인코딩/ 디코딩 개념 (0) 2020.07.15 [TCP] 3-way hand shake (0) 2020.07.05